√無料でダウンロード! ��数分解 三乗 526739-因数分�� 三乗の和
高校数学 因数分解 3乗が登場する因数分解の解き方をわかりやすく解説 数学の面白いこと 役に立つことをまとめたサイト
因数分解って面倒ですよね。 さんざん苦労して2乗の多項式の因数分解をマスターしたかと思ったら次は3乗の多項式! しかもさっぱり解き方がわからない! そんな人はここで3乗$x^3y^3=(xy)(x^2xyy^2)$ →3乗の因数分解公式5つと例題 ~めったに使わない、四乗の公式~ $x^44x^3y6x^2y^24xy^3y^4$$=(xy)^4$ $x^44x^3y6x^2y^24xy^3y^4$$=(xy)^4$
因数分解 三乗の和
因数分解 三乗の和- 因数分解 記憶すべしとは言いましたが、万が一に備えての計算もやっておきましょう。 細かい計算については端折りますので自分で計算してみてください。 (x – y)3 = x3 – 3x2y 3乗の公式 今回は3乗の形の因数分解について学びましょう。 さっそく公式を紹介します。 この2つが今回勉強する公式です。 これって展開の公式を逆にしただけですよね? その
高校数学 因数分解 3乗が登場する因数分解の解き方をわかりやすく解説 数学の面白いこと 役に立つことをまとめたサイト
因数分解3_2乗 x 2 2axa 2 = (xa) 2 x 2 2axa 2 = (xa) 2 x 2 6x9 x 2 10x25 9x 2 42x49 解説動画 ≫ 9=32, 6=2×3なので x2 6x9 = x22×3x32 = (x3)2 25=52, 10=2×5なので 3乗の因数分解公式は以下の5つです。 ① ① a 3 b 3 = ( a b) ( a 2 − a b b 2) ② ② a 3 − b 3 = ( a − b) ( a 2 a b b 2) ③ ③ a 3 3 a 2 b 3 a b 2 b 3 = ( a b) 3 ④ ④ a 3 − 3 a乗則 を使用して、指数を結合します。 を同分母分数にして、 を掛けます。 各式に適切な因数 を乗じて式の分母がすべて になるように式を書きます。
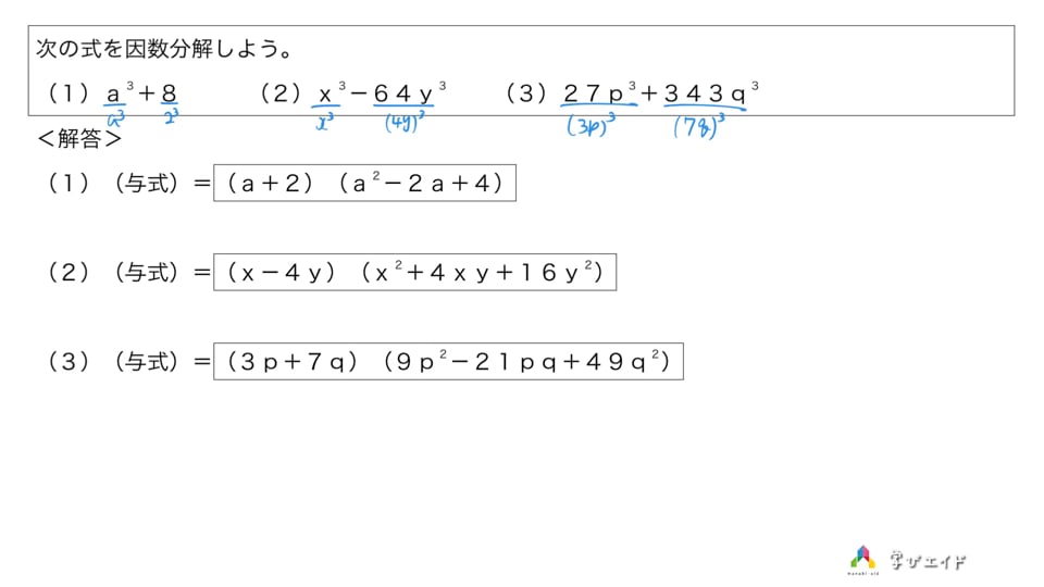
3乗とは? 3乗(さんじょう)とは、同じ数(文字)を3回掛け算することです。 下記をみてください。 これが3乗の計算です。 2 3 =2×2×2=8 a 3 =a×a×a 上記のように、同じ数(文字)を 3乗の因数分解の公式は? 次に因数分解3乗の公式を見ていきます。 公式はこちらになっています。 x³+a³=(xa)(x²axa²) x³a³=(xa)(x²axa²) 具体例として1つ紹介します。因数分解 3乗の公式 (文字3つ)(展開・因数分解)のポイントは! ( a^3 ) ( b^3 ) = ( a b )^3 - 3 a b ( a b ) ( a^3 ) ( b^3 ) ( c^3 ) - 3 a c b = ( a b c
因数分解 三乗の和のギャラリー
各画像をクリックすると、ダウンロードまたは拡大表示できます
![]() | ||
![]() | ![]() | |
![]() | ||
「因数分解 三乗の和」の画像ギャラリー、詳細は各画像をクリックしてください。
![]() | ![]() | ![]() |
![]() | ![]() | |
![]() | ![]() | |
「因数分解 三乗の和」の画像ギャラリー、詳細は各画像をクリックしてください。
![]() | ![]() | |
![]() | ![]() | |
![]() | ||
「因数分解 三乗の和」の画像ギャラリー、詳細は各画像をクリックしてください。
![]() | ||
![]() | ![]() | |
![]() | ||
「因数分解 三乗の和」の画像ギャラリー、詳細は各画像をクリックしてください。
![]() | ||
![]() | ![]() | ![]() |
![]() | ![]() | |
「因数分解 三乗の和」の画像ギャラリー、詳細は各画像をクリックしてください。
![]() | ![]() | ![]() |
![]() | ![]() | |
![]() | ![]() | |
「因数分解 三乗の和」の画像ギャラリー、詳細は各画像をクリックしてください。
![]() | ||
![]() | ![]() | |
![]() | ![]() | ![]() |
「因数分解 三乗の和」の画像ギャラリー、詳細は各画像をクリックしてください。
![]() | ![]() | |
![]() | ![]() | ![]() |
![]() | ![]() | |
「因数分解 三乗の和」の画像ギャラリー、詳細は各画像をクリックしてください。
![]() | ![]() | ![]() |
![]() | ![]() | ![]() |
![]() | ![]() | |
「因数分解 三乗の和」の画像ギャラリー、詳細は各画像をクリックしてください。
![]() | ||
![]() | ![]() | |
![]() | ![]() | ![]() |
「因数分解 三乗の和」の画像ギャラリー、詳細は各画像をクリックしてください。
![]() | ||
![]() | ![]() | |
「因数分解 三乗の和」の画像ギャラリー、詳細は各画像をクリックしてください。
![]() | ![]() | |
![]() |
































































コメント
コメントを投稿